Sideway
output.to from Sideway
Draft for Information Only

Content

  Trigonometry
   The Double Angle Identities
   The Power Reduction Formulas
   The Half Angle Identities
   The Triple Angle Formulas
   The Product to Sum Formulas
   The Sum to Product Formulas

Trigonometry

Those fundamental trigonometric identities are related with the properties of trigonometric functions. Some trigonometric identities or formulas are derived as mathematical equalities that are always true for used with trigonometric functions simlificaton and transformation .

The Double Angle Identities

For the angles sum identities, if the angles α and β are equal, then the angles sum identities can be reduced to double angle by letting θ=α=β. Imply

 IMAGE...

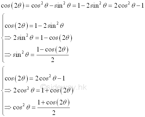
The Power Reduction Formulas

The double angle Identities for cosine function with power of sine and cosine functions can be used to reduce the power of sine and cosine functions through rearrangement of the equation. Imply

 IMAGE...

The Half Angle Identities

The power reduction formulas can be further elaborated to derive the half angle identities by substituting θ with θ/2. Imply

 IMAGE...

The Triple Angle Formulas

The triple angle formulas can be derived from the angles sum identities along with the double angle identities. Imply

 IMAGE...

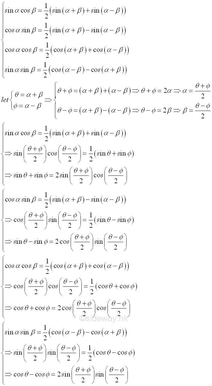
The Product to Sum Formulas

The product to sum formulas can be derived directly from the angles sum and difference identities by making use of the addition and subtraction operations. Imply

 IMAGE...

The Sum to Product Formulas

By substitution, the product to sum formulas can be transformed to the sum to product formulas directly. Imply 

 IMAGE...

©sideway

ID: 130600010 Last Updated: 6/9/2013 Revision: 0 Ref:

close

References

  1. B. Joseph, 1978, University Mathematics: A Textbook for Students of Science & Engineering
  2. Ayres, F. JR, Moyer, R.E., 1999, Schaum's Outlines: Trigonometry
  3. Hopkings, W., 1833, Elements of Trigonometry
close

Latest Updated LinksValid XHTML 1.0 Transitional Valid CSS!Nu Html Checker Firefox53 Chromena IExplorerna
IMAGE

Home 5

Business

Management

HBR 3

Information

Recreation

Hobbies 8

Culture

Chinese 1097

English 339

Travel 18

Reference 79

Computer

Hardware 257

Software

Application 213

Digitization 37

Latex 52

Manim 205

KB 1

Numeric 19

Programming

Web 289

Unicode 504

HTML 66

CSS 65

SVG 46

ASP.NET 270

OS 431

DeskTop 7

Python 72

Knowledge

Mathematics

Formulas 8

Set 1

Logic 1

Algebra 84

Number Theory 206

Trigonometry 31

Geometry 34

Coordinate Geometry 2

Calculus 67

Complex Analysis 21

Engineering

Tables 8

Mechanical

Mechanics 1

Rigid Bodies

Statics 92

Dynamics 37

Fluid 5

Fluid Kinematics 5

Control

Process Control 1

Acoustics 19

FiniteElement 2

Natural Sciences

Matter 1

Electric 27

Biology 1

Geography 1


Copyright © 2000-2025 Sideway . All rights reserved Disclaimers last modified on 06 September 2019